HI,欢迎来到新亚博足球世界杯 官网,品质高,服务好! 热线: 400-900-4166
在线客服
|
我的订单
400-900-4166
EN
浏览全部产品分类
实验室基础化学品
核酸 核苷酸极其衍生物
贵金属催化剂
蛋白质及其衍生物
其他(非常规产品及礼品)
生化yabo官网手机版 -u
生化yabo官网手机版 盒-u
基础溶剂-u
抗体-u
积分商城
优势产品线
打折专区
新亚博足球世界杯
技术中心
技术问答
关于新亚博足球世界杯
积分商城
优势产品线
打折专区
新亚博足球世界杯
技术中心
技术问答
关于新亚博足球世界杯
首页
问答详情
问
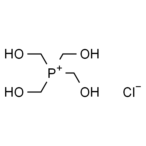
四羟甲基氯化磷用途是什么?
提问时间:2021/8/30 9:31:05
答
1
admin
2021-08-30 09:43
四羟甲基氯化磷用于纺织品后处理,用作塑料、纸品阻燃剂,还用于有机合成;纺织品后处理用阻燃剂,塑料、纸品等添加型阻燃剂
相关CAS产品
四羟甲基氯化磷
产品编号:
SA01912
CAS No.:
124-64-1
热门问答
4个回答
依托咪酯用途是什么?
3个回答
新亚博足球世界杯 产品CAS:64-19-7货号:A38822 乙酸,≥99.8%(GC)可以用来稀释新亚博足球世界杯 的货号:AC8062鼠尾胶原蛋白Ⅰ型这个yabo官网手机版 吗?
3个回答
六氟异丙醇用途是什么?
3个回答
碱性蛋白酶用途是什么?
3个回答
硫代乙酸乙酯用途是什么?
3个回答
丹参酮ⅡA用途是什么?
2个回答
PBS磷酸盐缓冲液干粉
2个回答
鲑鱼精DNA 10mg/ml
2个回答
盐是无机化合物吗?
2个回答
乙酸锆用途是什么?
技术文章
氘代乙腈:让分子“指纹”清晰现形的神奇溶剂
分子积木:认识3-溴-4-(二甲基氨基)苯甲醛
钯碳-催化界的“多面手”
实验室里的"小红信使"——Cy3荧光染料·BR!
雷帕霉素:从复活节岛土壤走出的“生命开关调节器”
异硫氰酸胍:分子生物学实验室的“隐形守护者”
呋喃西林的简单介绍
二甲基亚砜的简单介绍
一抗稀释液的简单介绍
棕榈油酸甲酯的作用有哪些
首页
网站使用条款
隐私政策
关于我们
Copyright ◎ 2018 ACMEC-E.COM-版权所有,未经授权禁止拷贝本站资料,如有违反,将追究法律责任
yabo官网手机版
沪公网安备31012002005909号
沪ICP备18007380号-1
本网站销售的所有产品仅用于工业应用或者科学研究等非医疗目的,不可用于人类或动物的临床诊断或者治疗,非药用,非食用。
危险品化学品经营许可证
营业执照(三证合一)
×
大包装询价
产品名称
CAS NO
品牌
包装规格
纯度
数量
单位名称
联系人
联系电话
电子邮件
备注
验证码
请填写图片中的字符
×
网站首页
查看新券
×
密码提醒
您的密码已经超过六个月未修改! 建议您修改密码!
0
购物车
学校/院所
高校/院所 微信扫一扫 直接联系销售咨询
企业客服
企业 微信扫一扫 直接联系销售咨询
我的订单
我的收藏
热线
客服热线
周一至周六 8:30-17:30
官方热线: 400-900-4166
Email:
sales@acmec-e.com