利福拉齐,98%
Rifalazil
(订货以英文名为准)猜你喜欢
1-癸硫醇,
96%
氧化苯胂,
97%
硫代米氏酮,
AR
氯代(邻氯苯基)二苯基甲烷,
1%DVB, 100-200 mesh
5-氰基烟酸,
95%
去氢依米丁二盐酸盐水合物,
98%
Tautomycin,
98%
异丙基Β-D-硫代吡喃葡萄糖苷,
99%
D-松三糖水合物,
分析对照品,98%
(R)-2-氯-1-(3-氯苯基)乙醇,
95%
8α-Methacryloyloxybalchanin,
分析对照品,96.5%
3-(十二烷基硫基)丙酸,
90%
S130,
99%
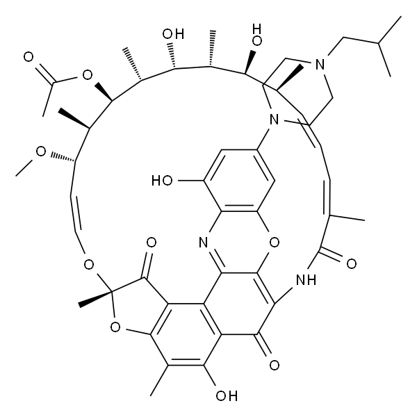
中文名称:
利福拉齐
英文名称:
Rifalazil
CAS No.:
129791-92-0
分子式:
C₅₁H₆₄N₄O₁₃
分子量:
941.07
保存条件:
2-8℃
InChIKey:
IXSVOCGZBUJEPI-HTQYORAHSA-N
InChI:
InChI=1S/C51H64N4O13/c1-24(2)23-54-16-18-55(19-17-54)32-21-33(57)39-35(22-32)67-48-40(52-39)36-37-44(60)30(8)47-38(36)49(62)51(10,68-47)65-20-15-34(64-11)27(5)46(66-31(9)56)29(7)43(59)28(6)42(58)25(3)13-12-14-26(4)50(63)53-41(48)45(37)61/h12-15,20-22,24-25,27-29,34,42-43,46,58-60,62H,16-19,23H2,1-11H3,(H,53,63)/b13-12+,20-15+,26-14-/t25-,27+,28+,29+,34-,42-,43+,46+,51-/m0/s1
Pubchem ID:
Rifalazil (ABI-1648; KRM-1648) 是利福霉素衍生物,可抑制细菌依赖 DNA 的 RNA 聚合酶 (RNA polymerase) 并阻断 RNA 聚合酶中的 β 亚基从而杀死细菌感染的细胞。Rifalazil (ABI-1648; KRM-1648) 是一种抗生素 (antibiotic),对分枝杆菌,革兰氏阳性细菌,幽门螺杆菌,肺炎衣原体和沙眼衣原体有抑制作用,其 MIC 值在 0.00025 至 0.0025 μg/ml 之间。Rifalazil (ABI-1648; KR
危化品级别:
关于的化合物详细属性等信息,点击“利福拉齐”
技术资料
历史浏览记录
沪公网安备31012002005909号


.png)



.png)



