- 首页
- 12129-69-0
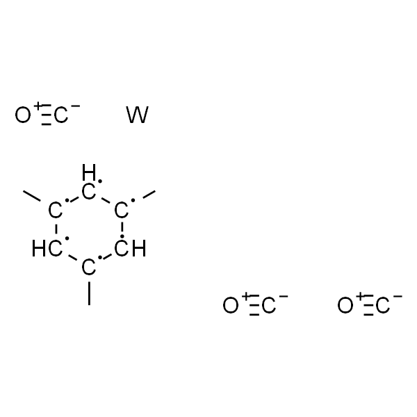
- Mesitylene tungsten tricarbonyl,>4N
Mesitylene tungsten tricarbonyl,>4N
Mesitylene tungsten tricarbonyl
(订货以英文名为准)猜你喜欢
人造沸石,
97%,≤10um
DL-苏氨酸,
97%
羟基甲苯磺酰碘苯,
96%
(1R,2R)-2-氨基环戊醇盐酸盐,
97%
2-碘酰苯甲酸,
95%
Fmoc-L-酪氨酸,
97%
2,4,6,8-四甲基环四硅氧烷,
98%
N,N-二丁基-1,3-丙二胺,
97%
溴氯酚蓝指示液,
95%
变色酸2B,
97%
2,3-二甲氧基溴苯,
95%
2-蒽磺酰氯,
90%(荧光yabo官网手机版
)
3-甲氧基苯酚,
95%
中文名称:
Mesitylene tungsten tricarbonyl
英文名称:
Mesitylene tungsten tricarbonyl
CAS No.:
12129-69-0
分子式:
C₉H₁₂W(CO)₃
分子量:
388.08
熔点:
214°C (dec.)(lit.)
保存条件:
2-8°C
InChIKey:
OENLQXWEAUYNBC-UHFFFAOYSA-N
InChI:
InChI=1S/C9H12.3CO.W/c1-7-4-8(2)6-9(3)5-7;3*1-2;/h4-6H,1-3H3;;;;
Pubchem ID:
危化品级别:
关于的化合物详细属性等信息,点击“12129-69-0”
技术资料
历史浏览记录
沪公网安备31012002005909号