- 首页
- 857672-34-5
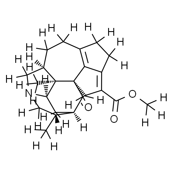
- Longistylumphylline A,分析对照品,HPLC≥96.5%
Longistylumphylline A,分析对照品,HPLC≥96.5%
Longistylumphylline A
(订货以英文名为准)猜你喜欢
10-溴-9-蒽甲酸乙酯,
97%
AE-3763,
98%
甲氧基聚乙二醇琥珀酰亚胺酯,
分子量 750
1-氯-6-萘酚,
95%
2-乙酰氨基-6-氯嘌呤,
97%
6-硝基喹啉-4-醇,
97%
2,4-二氯苯硼酸频那醇酯,
96%
3-乙氧基-2-吡啶甲醛,
95%
Grela 1代催化剂,
98%
2-(2-氨乙基)苯并咪唑二盐酸盐,
97%
2-(1-羟基环己基)环己-1-酮,
95%
正十七烷,
>99.0%(GC)
中文名称:
Longistylumphylline A
英文名称:
Longistylumphylline A
CAS No.:
857672-34-5
分子式:
C₂₃H₂₉NO₃
分子量:
367.48
保存条件:
2-8°C
InChIKey:
ABIPGLGIPJKDMN-ZTOHPJANSA-N
InChI:
InChI=1S/C23H29NO3/c1-12-10-24-11-14-6-4-13-5-7-15-17(21(26)27-3)9-23(19(13)15)20(25)16(12)8-18(24)22(14,23)2/h12,14,16,18H,4-11H2,1-3H3/t12-,14-,16-,18-,22-,23+/m1/s1
Pubchem ID:
危化品级别:
关于的化合物详细属性等信息,点击“857672-34-5”
技术资料
历史浏览记录
沪公网安备31012002005909号