400-900-4166

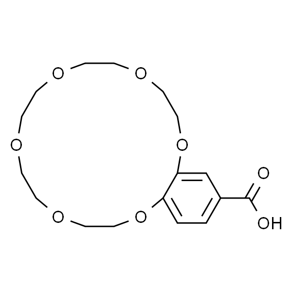
别名:4-碳酸苯并-18-冠醚-6;4'-羧苯并-18-冠-6-醚;C17H24O8
CAS:60835-75-8 分子式:C₁₇H₂₄O₈ 分子量:356.37 MDL:MFCD00143277

猜你喜欢

中文名称:
4-碳酸苯并-18-冠醚-6
英文名称:
2,3,5,6,8,9,11,12,14,15-Decahydrobenzo[b][1,4,7,10,13,16]hexaoxacyclooctadecine-18-carboxylic acid
CAS No.:
60835-75-8
分子式:
C₁₇H₂₄O₈
分子量:
356.37
InChIKey:
GFQYJVLOPVAPGJ-UHFFFAOYSA-N
InChI:
InChI=1S/C17H24O8/c18-17(19)14-1-2-15-16(13-14)25-12-10-23-8-6-21-4-3-20-5-7-22-9-11-24-15/h1-2,13H,3-12H2,(H,18,19)
Pubchem ID:
安全说明:
S22-S24/25

技术问答

Tags:60835-75-8,4-碳酸苯并-18-冠醚-6,cas号:60835-75-8,cas:60835-75-8
​Copyright ◎ 2018 ACMEC-E.COM-版权所有,未经授权禁止拷贝本站资料,如有违反,将追究法律责任
yabo官网手机版
沪公网安备31012002005909号   沪ICP备18007380号-1
本网站销售的所有产品仅用于工业应用或者科学研究等非医疗目的,不可用于人类或动物的临床诊断或者治疗,非药用,非食用。
危险品化学品经营许可证    营业执照(三证合一)