400-900-4166

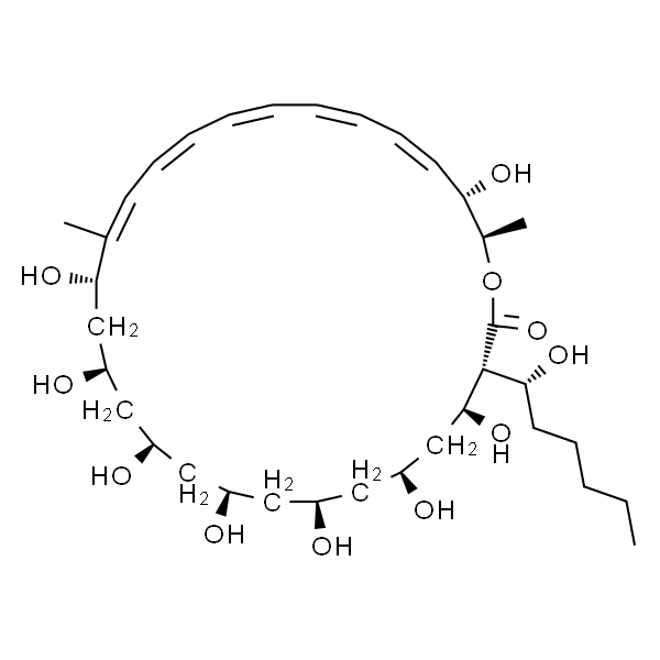
别名:菲律平;C35H58O11
CAS:480-49-9 分子式:C₃₅H₅₈O₁₁ 分子量:654.83 MDL:MFCD30742956

猜你喜欢

中文名称:
菲律宾菌素 III
英文名称:
Filipin III
CAS No.:
480-49-9
分子式:
C₃₅H₅₈O₁₁
分子量:
654.83
InChIKey:
IMQSIXYSKPIGPD-YQRUMEKGSA-N
InChI:
InChI=1S/C35H58O11/c1-4-5-11-16-31(42)34-33(44)22-29(40)20-27(38)18-25(36)17-26(37)19-28(39)21-32(43)23(2)14-12-9-7-6-8-10-13-15-30(41)24(3)46-35(34)45/h6-10,12-15,24-34,36-44H,4-5,11,16-22H2,1-3H3/b7-6+,10-8+,12-9+,15-13+,23-14+/t24-,25+,26-,27+,28-,29+,30+,31-,32+,33+,34-/m1/s1
Pubchem ID:

技术问答

Tags:菲律平,480-49-9,cas号:480-49-9,cas:480-49-9
​Copyright ◎ 2018 ACMEC-E.COM-版权所有,未经授权禁止拷贝本站资料,如有违反,将追究法律责任
yabo官网手机版
沪公网安备31012002005909号   沪ICP备18007380号-1
本网站销售的所有产品仅用于工业应用或者科学研究等非医疗目的,不可用于人类或动物的临床诊断或者治疗,非药用,非食用。
危险品化学品经营许可证    营业执照(三证合一)