400-900-4166

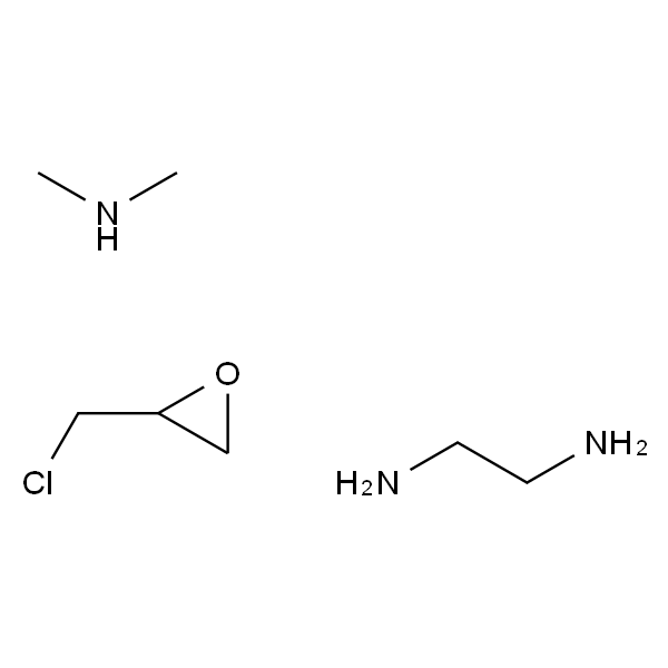
CAS:42751-79-1 分子式:C3H5OCL.C2H8N2.C2H7N 分子量:197.71

猜你喜欢

英文名称:
Superfloc C 573
CAS No.:
42751-79-1
分子式:
C3H5OCL.C2H8N2.C2H7N
分子量:
197.71
InChIKey:
RPKDEWATZPCEIX-UHFFFAOYSA-N
InChI:
InChI=1S/C3H5ClO.C2H8N2.C2H7N/c4-1-3-2-5-3;3-1-2-4;1-3-2/h3H,1-2H2;1-4H2;3H,1-2H3
Pubchem ID:

技术问答

​Copyright ◎ 2018 ACMEC-E.COM-版权所有,未经授权禁止拷贝本站资料,如有违反,将追究法律责任
yabo官网手机版
沪公网安备31012002005909号   沪ICP备18007380号-1
本网站销售的所有产品仅用于工业应用或者科学研究等非医疗目的,不可用于人类或动物的临床诊断或者治疗,非药用,非食用。
危险品化学品经营许可证    营业执照(三证合一)