400-900-4166

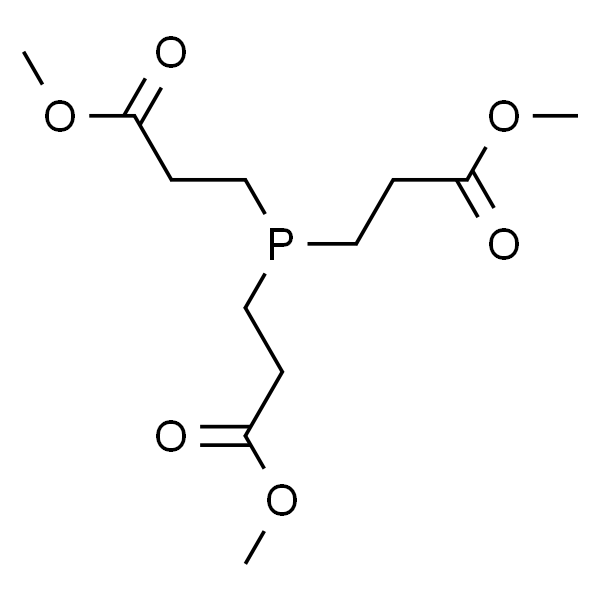
别名:三甲基3,3',3''-膦酰基三丙酸酯;C12H21O6P
CAS:29269-17-8 分子式:C₁₂H₂₁O₆P 分子量:292.27 MDL:MFCD07369992

猜你喜欢

中文名称:
三甲基3,3',3''-膦酰基三丙酸酯
英文名称:
Trimethyl 3,3',3''-phosphinetriyltripropanoate
CAS No.:
29269-17-8
分子式:
C₁₂H₂₁O₆P
分子量:
292.27
InChIKey:
GCGYESORUFVNSP-UHFFFAOYSA-N
InChI:
InChI=1S/C12H21O6P/c1-16-10(13)4-7-19(8-5-11(14)17-2)9-6-12(15)18-3/h4-9H2,1-3H3
Pubchem ID:

技术问答

Tags:29269-17-8,三甲基3,3',3''-膦酰基三丙酸酯,cas号:29269-17-8,cas:29269-17-8
​Copyright ◎ 2018 ACMEC-E.COM-版权所有,未经授权禁止拷贝本站资料,如有违反,将追究法律责任
yabo官网手机版
沪公网安备31012002005909号   沪ICP备18007380号-1
本网站销售的所有产品仅用于工业应用或者科学研究等非医疗目的,不可用于人类或动物的临床诊断或者治疗,非药用,非食用。
危险品化学品经营许可证    营业执照(三证合一)