400-900-4166

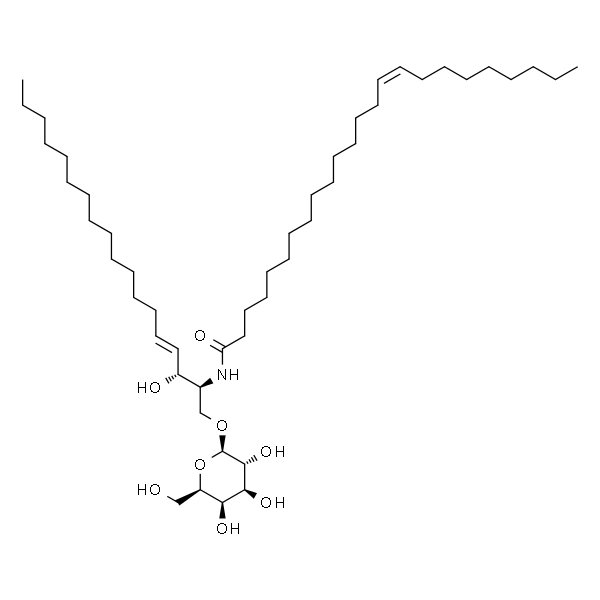
别名:N-Nervonyl Cerebroside
CAS:17283-91-9 分子式:C₄₈H₉₁NO₈ 分子量:810.24

猜你喜欢

中文名称:
N-Nervonyl Cerebroside
英文名称:
β-D-galactosyl-N-(nervonoyl)sphingosine
CAS No.:
17283-91-9
分子式:
C₄₈H₉₁NO₈
分子量:
810.24
InChIKey:
WBOZIXHPUPAOIA-KVGFKTOYSA-N
InChI:
InChI=1S/C48H91NO8/c1-3-5-7-9-11-13-15-17-18-19-20-21-22-23-24-26-28-30-32-34-36-38-44(52)49-41(40-56-48-47(55)46(54)45(53)43(39-50)57-48)42(51)37-35-33-31-29-27-25-16-14-12-10-8-6-4-2/h17-18,35,37,41-43,45-48,50-51,53-55H,3-16,19-34,36,38-40H2,1-2H3,(H,49,52)/b18-17-,37-35+/t41?,42-,43-,45+,46+,47-,48+/m1/s1
Pubchem ID:
WGK Germany:
3

技术问答

Tags:17283-91-9,N-Nervonyl Cerebroside,cas号:17283-91-9,cas:17283-91-9
​Copyright ◎ 2018 ACMEC-E.COM-版权所有,未经授权禁止拷贝本站资料,如有违反,将追究法律责任
yabo官网手机版
沪公网安备31012002005909号   沪ICP备18007380号-1
本网站销售的所有产品仅用于工业应用或者科学研究等非医疗目的,不可用于人类或动物的临床诊断或者治疗,非药用,非食用。
危险品化学品经营许可证    营业执照(三证合一)