400-900-4166

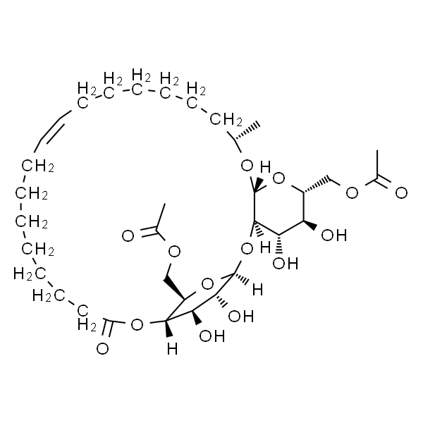
别名:1',4"-Sophorolactone 6',6"-diacetate
CAS:148409-20-5 分子式:C₃₄H₅₆O₁₄ 分子量:688.80

猜你喜欢

中文名称:
槐糖脂
英文名称:
1',4"-Sophorolactone 6',6"-diacetate
CAS No.:
148409-20-5
分子式:
C₃₄H₅₆O₁₄
分子量:
688.80
InChIKey:
OGTXYHUVJIPSDT-GNUCGHNBSA-N
InChI:
InChI=1S/C34H56O14/c1-21-17-15-13-11-9-7-5-4-6-8-10-12-14-16-18-26(37)47-31-25(20-43-23(3)36)46-33(30(41)29(31)40)48-32-28(39)27(38)24(19-42-22(2)35)45-34(32)44-21/h4-5,21,24-25,27-34,38-41H,6-20H2,1-3H3/b5-4-/t21-,24+,25+,27+,28-,29+,30+,31+,32+,33-,34+/m0/s1
Pubchem ID:

技术问答

​Copyright ◎ 2018 ACMEC-E.COM-版权所有,未经授权禁止拷贝本站资料,如有违反,将追究法律责任
yabo官网手机版
沪公网安备31012002005909号   沪ICP备18007380号-1
本网站销售的所有产品仅用于工业应用或者科学研究等非医疗目的,不可用于人类或动物的临床诊断或者治疗,非药用,非食用。
危险品化学品经营许可证    营业执照(三证合一)