猜你喜欢
中文名称:
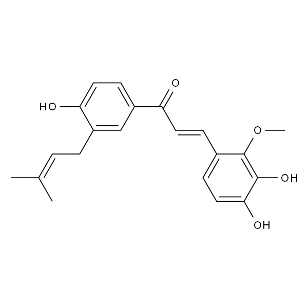
甘草查尔酮 D
英文名称:
Licochalcone D
CAS No.:
144506-15-0
分子式:
C₂₁H₂₂O₅
分子量:
354.40
InChIKey:
RETRVWFVEFCGOK-RMKNXTFCSA-N
InChI:
InChI=1S/C21H22O5/c1-13(2)4-5-15-12-16(8-10-18(15)23)17(22)9-6-14-7-11-19(24)20(25)21(14)26-3/h4,6-12,23-25H,5H2,1-3H3/b9-6+
Pubchem ID:
技术问答
Tags:甘草查尔酮 D,144506-15-0,cas号:144506-15-0,cas:144506-15-0
沪公网安备31012002005909号


.png)



.png)



